벤젠(benzene) ·톨루엔(toluene) ·자일렌(xylene) 등을 말하는 것으로 화학물질 합성에 많이 사용됩니다.
BTX란 방향족 화학제품인 벤젠(Benzene), 톨루엔(Toluene), 자일렌(Xylene) 등을 말하는 것으로 화학물질 합성에 많이 사용되고 있습니다.
BTX 공업은 석탄건류 때에 얻는 타르의 유효 이용을 목적으로 하는 부산물공업(타르계 BTX)으로 출발하였으나, 그 후 BTX에 대한 수요가 급증하고 석유화학공업이 급격히 발전함에 따라 석유계 BTX가 비약적으로 발전하여 BTX 공업은 부산물공업을 탈피하여 현재 중요한 화학공업의 한 분야가 되었습니다. 에틸렌 공정의 부산물인 열분해 가솔린을 원료로 생산되며 현재 건설, 가전, 섬유산업의 원재료로 활용되는 고부가가치 제품입니다
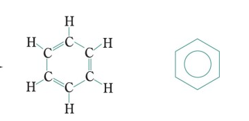
벤젠
톨루엔
자일렌
1. 벤젠

벤젠(benzene)은 화학식 C6H6를 갖는 탄화수소로 무색이며 달콤한 냄새가 나는 가연성 액체입니다. 벤젠은 여섯 개 탄소가 정육각형 평면을 이루며 각 탄소에는 하나의 수소가 결합합니다. 여섯 개의 각 결합은 단일 결합과 이중 결합의 중간 정도의 동일한 결합이며 화학적으로 매우 안정된 방향족 성을 갖고 있습니다. 벤젠은 휘발유의 옥탄가를 높이는 효과가 있어 한동안 첨가제로 사용되다가 발암성 때문에 첨가제로의 사용이 규제되고 있습니다. 오늘날 벤젠은 공업용 재료가 되는 다양한 벤젠 유도체의 합성에 필요한 출발 물질로 연간 수천만 톤이 석유로부터 생산되고 있습니다.
*특징
1) 벤젠은 합성세제, 의약품, 농약, 향료 등으로 사용
2) 무색 또는 엷은 황색을 띠며 특유의 달콤한 냄새
3) 대표적인 인화성(휘발성) 액체 (인화점−11.63°C )
4) 화학 공정에서 중요한 용매로 사용
5) 다양한 제품의 원료로 활용되는 대표적인 물질
2. 톨루엔

휘발성 유기화합물 중 하나로 새집증후군, 발암물질로 널리 알려진 물질입니다. 톨루엔이 아닌 메틸벤젠으로도 불리는 이 물질은 가장 간단한 형태의 화합물이라는 특징을 가지고 있습니다. 위험 요소이긴 하나 대표적인 유기용매라 현재 사용 범위가 상당하기에 종종 이에 대한 문제가 불거진 물건들을 쉽게 볼 수 있고 최근에는 생리대 문제가 존재했습니다.
보통 시너 냄새가 나기 때문에 구분이 가능합니다.
'사카린'이라 불리는 인공 조미료의 재료가 되기도 합니다. 설탕 대용으로 사용하기도 하지만 다량 흡입할 경우에는 사망에 이를 수 있어 주의가 필요합니다.
*특징
1) 톨루엔은 염료, 표백제 등으로 사용됩니다.
2) 특유의 달콤한 냄새를 지닌 무색의 액체입니다
3) 인화점이 7℃로 인화성 액체입니다.
4) 벤젠의 메틸 치환체로 BTX 공정을 통해 분리하여 생산합니다.
3. 자일렌

벤젠 고리에 메틸기 2개가 결합한 구조이며 메틸기의 위치에 따라 오쏘 자일렌, 메타 자일렌, 파라 자일렌 3가지 기하 이성질체가 있습니다.
자일렌은 달콤한 냄새가 나는 무색투명한 인화성 액체입니다. 직업적으로 화학합성제, 플라스틱, 향료, 구충제, 에폭시 수지, 의약품 등에 사용됩니다. 주로 호흡기로 흡수되고 피부로도 흡수됩니다.
용해력이 크기 때문에 이성질체 혼합물 그대로 용제로 사용되며, 옥탄값이 높아서 휘발유에 배합하여 옥탄가 향상제로도 쓰입니다.
*파라 자일렌
세 가지 이성질체 중 가장 중요한 이성질체
파라 자일렌의 산화물인 테레프탈산이 가장 흔한 고분자 제품 중 하나인 페트 생산의 전구제이기 때문에 흔한 페트병을 생산하는데 빼놓을 수 없는 물질
*특징
1) 자일렌(크실렌)은 염료, 표백제 등으로 사용됩니다.
2) 달콤한 냄새가 나는 방향족 탄화수소입니다.
3) 오쏘, 메타, 파라-3가지 이성질체 구조를 갖습니다.

벤젠은 각종 플라스틱 제작 과정에서 중간 물질로 사용되며, 톨루엔은 화학제품 용해 시 사용되는 DNT의 원료로, 자일렌은 용제로 쓰입니다.
이들 화합물은 모두 벤젠의 구조를 갖고 있으며, 서로 다른 수소 대체제로 이루어져 있습니다.
BTX는 유기화합물로서 산업적으로 중요하며 다양한 용도로 사용됩니다.
'석유화학산업' 카테고리의 다른 글
| P&ID/PFD (0) | 2024.03.13 |
|---|---|
| 석유의 미스테리 (1) | 2024.03.12 |
| S-oil 샤힌프로젝트 (1) | 2024.03.02 |
| 고유가가 유지되는 이유 (0) | 2024.03.02 |
| 석유화학산업 기초지식 쌓기 (0) | 2024.03.02 |